只有富有全局观的人,比如圣人、疯子或神秘人,才能帮助我们破解宇宙构成原理的密码。

他在慕尼黑大学获得了博士学位,期间的工作是研究亨利·庞加莱关于旋转体稳定构型和月球影响潮汐变形的理论。1901至1905年期间,他作为教授供职于哥廷根一家知名的研究所,有机会与菲利克斯·克莱因、大卫·希尔伯特以及赫尔曼·闵可夫斯基等许多著名数学家共事。随后他搬至波茨坦,在天文观测站担任所长,并在光谱学领域有所建树。
亚瑟·爱丁顿爵士如此评价他:“对于他这样一位在数学和物理学所有分支都拥有广泛爱好的人来说,周围的环境一定充满趣味。”
1914年一战爆发后,史瓦西已经40岁,仍然志愿服兵役,在比利时负责气象站工作,还在法国炮兵部队服过役,帮助计算炮弹弹道。
我没有一直对天堂抱有信仰。我的兴趣从来不会被月球或之外的天空上的东西限制,而是追随其间乃至人类灵魂至暗空间中编织的线索,达到科学新发出的光芒闪耀的地方。——卡尔·史瓦西
在东部前线时,史瓦西拿到了一卷普鲁士皇家科学院院刊,了解到了爱因斯坦的广义相对论 理论。
在俄国期间,他撰写了关于爱因斯坦理论和普朗克量子理论的论文,后篇包括了对斯塔克效应(氢原子谱线在外部电场下移动的现象)的解释和对这一效应基于量子理论假设的证明。
爱因斯坦场方程的第一个精确解
要真正欣赏史瓦西的工作,必须了解一些物理学史。
1915年12月22日,阿尔伯特·爱因斯坦收到了一封来自一战战壕的信。破旧褶皱的信封上覆满尘土,寄件人的姓名已经被一大块血迹盖住。打开后他才看到这个天才的名字:卡尔·史瓦西。
如您所见,战争对我还算温柔,尽管在不远的距离内还能听见猛烈的枪声,但请允许我在您思想的园地中进行这次探索。
爱因斯坦被这封刚到手的信完全震撼了,其中包含了广义相对论中场方程的第一个精确解 ,它可以完美地描述有质量物体周围时空的几何或扭曲。
爱因斯坦震惊的原因在于,仅仅在他理论发表后的一个月,史瓦西就能够找出这些复杂且高度非线性的偏微分方程的精确解,而他自己作为理论的提出者,也不过只是能给出找到近似解的数学技巧而已。史瓦西在充斥着爆炸和毒气的战场中做到这些无异于一个奇迹。
对史瓦西的结果进行轻微的调整就可以得到一个以他的名字命名的著名的解——史瓦西度规 (Schwarzschild metric)。
现在,物理学家和数学家通常会借助强大的计算机和数值技巧来求解这些棘手复杂的方程。
爱因斯坦为此非常满意,因为他知道这样强大的结果完全足以引发物理学界对(此前反响寥寥的)广义相对论的兴趣。
他回复了这封信,并许诺将这个工作发表在普鲁士学会的一个会议上:
我以最大的兴趣阅读了你的来信。我原本不对有人通过如此简洁的方式获得这个问题的精确解抱有希望。我非常喜欢你在这个问题中的数学处理。
史瓦西解的阐释
史瓦西采用了简单的假设,考虑一个真空的、球对称、不带电荷、无旋转的理想情况,随后运用场方程确定天体的中心质量使空间变形的情况,和炮弹放在一个塑料板上使其变形类似。
没有宇宙常数的广义相对论方程可以写作:
其中,是里奇曲率张量,R是里奇标量,是度规张量,为应力-能量-动量张量,通过假设真空条件,史瓦西可以将取零。
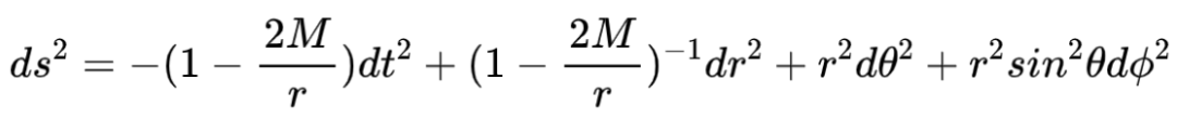
史瓦西度规如下:

在距离球体距离较长时,重力表现得和牛顿预测的一样;但如果靠近具有强引力质量的物体,广义相对论的结果就会偏离牛顿的经典描述。
史瓦西的精确解在今天具有广泛的应用,比如追踪天体的轨迹、行星轨道,以及光线经过强引力体时的偏转角。
史瓦西奇点
像之前爱因斯坦预言的那样,史瓦西度规和标准恒星符合得很好,周围的空间弯曲是有限的,但这个解还留下了些非常奇怪的问题。
当一个巨大的天体耗尽燃料并由于自身引力驱使开始坍缩,中心质量集中在一个小的区域时,就会出现复杂的情况。
史瓦西的计算预测,时空结构在这种情况下不只会弯曲、而是完全撕裂,巨大的引力会导致塌缩持续,星体的密度会不断增加,直到空间具有无限曲率,最终永远与世隔绝,变成一个不可逃脱的洞。这被称为史瓦西奇点 ,也就是我们熟悉的“黑洞 ”。

由于物理学当时还没有接受无穷的意义(无穷当时没有物理意义),史瓦西起初认为自己的解只是一个特殊的数学结果,是永远没有自然界实体对应的抽象想法,他认为方程中出现的奇点只是个不合理的错误。
史瓦西解的物理阐释不仅违反常识,而且还会违背爱因斯坦的理论甚至动摇物理学的根基,因为在奇点中,时空的概念不再存在。
史瓦西便开始致力于去除奇点,他以为其中的差别可能源于引入了理想假设 ,而现实中并不存在这样完美的不带电球体。
进行这个工作时,他用完了三个笔记本,推出每个物体内都包含一个奇点 ,当物质被充分压缩到一个特定的半径 时就会出现。对于太阳来说,这个半径是3千米;而对于地球则是8毫米。
在奇点之外存在一个壁垒,是不能“回头”的标志点,一旦一个物体跨过这条线,就会被永远困住。几十年后,这个临界极限被命名为史瓦西半径 。
难道就没有人知道奇点内有什么了吗?史瓦西度规预测时空会互换角色:空间会像时间那样流动(单向指向奇点),而时间会像空间那样展开(过去、现在和将来不能区分)。
这样的扭转则会违背因果律 :在假设中,如果一个人能越过这道沟壑,那他就能收到来自未来的光信号,于是他便可以预见没有发生的事件。如果他能避免重力撕碎并达到中心,就可以在一瞬间分辨宇宙的未来演化和过去。
《闪电侠》中好像就涉及到了这样离奇的科幻情节。
水星的近日点进动
抛开其他的不谈,史瓦西度规使广义相对论获得了认可,因为它完美地描述了水星轨道长期的异常行为(水星近日点进动)。
人们知道,行星以椭圆形轨道绕太阳运动。每个行星的质量都会对其他行星的轨道产生微小的影响,其他行星的轨道受到影响都会绕太阳产生进动。除了水星以外的其他行星受到的影响都很微小,可以用牛顿的引力定律解释。
而水星轨道被观测到一个很明显的进动,并不与用牛顿力学计算的结果符合。一开始人们认为,这是由于太阳和水星之间还存在另一个行星——被称为“祝融星”,产生了这样的差异,但它从未被观测到。
史瓦西计算出了水星轨道的解,并表明相对论导致轨道自己产生进动,这支持广义相对论而非牛顿引力定律。

不治之症
在与爱因斯坦分享成果的同一天,史瓦西从俄国给自己的妻子写了一封信,抱怨身体内不寻常的感觉。没过多久,疾病就蔓延到了他的全身。
我不知道怎么描述,但它有股不能控制的力量遮蔽了我所有思绪,它是一种没有形状和维度的空洞、是一片看不见的阴影,耗尽了我全部灵魂。
在战区医院,军医诊断他患上了一种罕见的不能治愈的皮肤病——寻常天疱疮,身体会无法分别出自身细胞从而使免疫系统强烈攻击皮肤。水泡开始只是在他脸上起了两个,便很快布满了全身。
医生认为可能是战场上的毒气袭击造成了他的患病,史瓦西在日记中这样描述那些袭击:
“月亮很快就划过了天空,好像加速了一样。士兵们都整理好了装备,只等着进攻的口令,但是这场景却奇怪又令人不安,好像不祥之兆,我可以看出他们眼中的恐惧。”
由于疾病,史瓦西于1916年3月从前线回到了哥廷根。两个月后他不堪病痛的折磨去世,享年42岁,葬于哥廷根的家族墓地中。
人们用史瓦西的名字命名了一颗小行星837 Schwarzschilda,它绕太阳公转周期是3.48年,距离太阳2.21-2.39 AU(天文单位)。它由德国天文学家马克思·沃夫在史瓦西去世的几个月后在海德堡的一个天文台首次发现。
德国天文学会以他的名字设立了一个奖项,卡尔·史瓦西奖章,以表彰杰出的天文学家和天体物理学家。奖章的首位获得者是史瓦西的儿子马丁·史瓦西(Martin Schwarzschild)。
在他的葬礼上,爱因斯坦向人们朗读了悼文,为他致敬:
他直面了其他人逃避的问题,他热爱探索自然界方方面面间的联系,引领着他寻找未知的动力的是快乐、是艺术家所感受的愉悦,是心系未来的梦想家的想象。
社科在线


